首页
伽马函数考研会考吗
返回

伽马函数考研会考吗

2023-08-24 精选百科 By:佚名
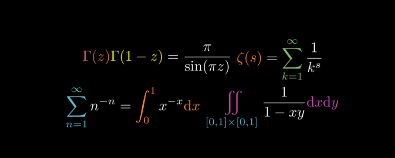
最佳答案伽马函数考研会考。考研数学中,伽马函数是一个常见的数学工具,因此考研会考察伽马函数的相关知识。伽玛函数也叫欧拉第二积分,是阶乘函数在实数与复数上扩展的一类函数。该函数在分析学、概率论、偏微分方程和组合数学中有重要的应用。与之有密切联系的函数是贝塔函数,也叫第一类欧拉积分,可以...

伽马函数考研会考。考研数学中,伽马函数是一个常见的数学工具,因此考研会考察伽马函数的相关知识。伽玛函数也叫欧拉第二积分,是阶乘函数在实数与复数上扩展的一类函数。该函数在分析学、概率论、偏微分方程和组合数学中有重要的应用。与之有密切联系的函数是贝塔函数,也叫第一类欧拉积分,可以用来快速计算同伽马函数形式相类似的积分。

猜你喜欢
来单 杭州传媒科技有限公司(关于来单 杭州传媒科技有限公司的简介)

来单 杭州传媒科技有限公司(关于来单 杭州传媒科技有限公司的简介)

12-31 0 阅读
杭州艾玛妇产医院(关于杭州艾玛妇产医院的简介)

杭州艾玛妇产医院(关于杭州艾玛妇产医院的简介)

12-31 0 阅读
中国沿海与一些国家的大陆架或200海里专属经济区相连

中国沿海与一些国家的大陆架或200海里专属经济区相连

11-19 0 阅读
高敬德(关于高敬德的基本详情介绍)

高敬德(关于高敬德的基本详情介绍)

12-31 0 阅读
滦州古城(关于滦州古城的基本详情介绍)

滦州古城(关于滦州古城的基本详情介绍)

12-30 0 阅读
预应力锚杆(关于预应力锚杆的基本详情介绍)

预应力锚杆(关于预应力锚杆的基本详情介绍)

12-31 0 阅读
热门推荐
观察日食能用眼睛直接看吗(怎么看日食不伤眼睛)

观察日食能用眼睛直接看吗(怎么看日食不伤眼睛)

01-04 0 阅读
来单 杭州传媒科技有限公司(关于来单 杭州传媒科技有限公司的简介)

来单 杭州传媒科技有限公司(关于来单 杭州传媒科技有限公司的简介)

12-31 0 阅读
杭州艾玛妇产医院(关于杭州艾玛妇产医院的简介)

杭州艾玛妇产医院(关于杭州艾玛妇产医院的简介)

12-31 0 阅读
杏鲍菇怎么炒视频(杏鲍菇怎么做好吃素炒)

杏鲍菇怎么炒视频(杏鲍菇怎么做好吃素炒)

12-30 0 阅读
安徽省化工设计院(关于安徽省化工设计院的基本详情介绍)

安徽省化工设计院(关于安徽省化工设计院的基本详情介绍)

01-02 0 阅读
赘婿什么时候上映(关于赘婿什么时候上映的基本详情介绍)

赘婿什么时候上映(关于赘婿什么时候上映的基本详情介绍)

01-01 0 阅读
ipod touch 9(ipod touch 8g)

ipod touch 9(ipod touch 8g)

01-03 0 阅读
kaws与优衣库(优衣库kaws为什么这么火)

kaws与优衣库(优衣库kaws为什么这么火)

01-04 0 阅读
中国沿海与一些国家的大陆架或200海里专属经济区相连

中国沿海与一些国家的大陆架或200海里专属经济区相连

11-19 0 阅读
高敬德(关于高敬德的基本详情介绍)

高敬德(关于高敬德的基本详情介绍)

12-31 0 阅读